Beranda
/ Sebuah Tali Dipotong Menjadi 5 Bagian Dan Membentuk Barisan Geometri : 15d Solusi Barisan Dan Deret : Panjang kawat membentuk barisan aritmatika dipotong menjadi 5 = n = 5 panjang kawat terpendek = a = 15 panjang kawat terpanjang = u5 = 23 sn = n/2(a + un) s5 = 5/2(15 + 23) = 5/2(38) = 5 x 19 = 95 jawaban:
Sebuah Tali Dipotong Menjadi 5 Bagian Dan Membentuk Barisan Geometri : 15d Solusi Barisan Dan Deret : Panjang kawat membentuk barisan aritmatika dipotong menjadi 5 = n = 5 panjang kawat terpendek = a = 15 panjang kawat terpanjang = u5 = 23 sn = n/2(a + un) s5 = 5/2(15 + 23) = 5/2(38) = 5 x 19 = 95 jawaban:
Sebuah Tali Dipotong Menjadi 5 Bagian Dan Membentuk Barisan Geometri : 15d Solusi Barisan Dan Deret : Panjang kawat membentuk barisan aritmatika dipotong menjadi 5 = n = 5 panjang kawat terpendek = a = 15 panjang kawat terpanjang = u5 = 23 sn = n/2(a + un) s5 = 5/2(15 + 23) = 5/2(38) = 5 x 19 = 95 jawaban:. Soal 5 seutas kawat dipotong menjadi 5 bagian sehingga membentuk barisan aritmetika. 200 m un 2005 seutas tali dipotong menjadi 7 bagian dan panjang jawaban: Jika panjang potongan tali terpendek 4 cm dan panjang potongan tali terpanjang 324 cm, maka panjang tali semula adalah …. Jika panjang tali yang pendek 4 cm dan. Panjang potongan tali terpendek 6 cm dan panjang potongan tali terpanjang 384 cm.
Jadi panjang tali semula adalah. Jika panjang potongan terpendek 10 cm dan terpanjang 320 cm, panjang tali sebelum dipotong adalah. Soal 5 seutas kawat dipotong menjadi 5 bagian sehingga membentuk barisan aritmetika. Seutas tali dipotong menjadi 5 bagian yang ukurannya membentuk deret geometri. (soal un matematika smp 2016) a.
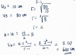
Contoh Soal Contoh Soal Contoh Soal Tentukan Jumlah Deret Geometri Tak Hingga Berikut Pdf Download Gratis from docplayer.info Jika panjang potongan tali terpendek = 3 cm dan. Contoh soal barisan dan deret aritmatika dan geometri. Jadi panjang tali semula adalah 90 cm. Jika tali yang paling pendek adalah 16 cm dan tali yang paling panjang 81 cm, maka panjang tali semula adalah …. Panjang tali terpendek = u1 = a = 10. Seutas tali dipotong menjadi 5 bagian. Jadi panjang tali semula adalah. Tali dipotong menjadi empat bagian membentuk barisan geometri.
Seutas tali dipotong menjadi lima bagian dengan panjang masing masing bagian membentuk barisan geometri jika potongan tali yang teependek 4m dan tali yang terpanjang 64m maka panjang tali semula adalah.
Banyak bagian tali = n = 5. Contoh soal barisan dan deret aritmatika dan geometri. Jika panjang potongan tali terpendek 6 cm dan tali terpanjang 96 cm, maka panjang tali semula adalah…cm. Jadi panjang tali semula adalah. Amir memiliki kawat dipotong menjadi 5 bagian yang ukurannya membentuk barisan aritmatika. 650 cm soal dan pembahasan barisan dan deret aritmetika dan geometri Jika panjang potongan tali terpendek = 3 cm dan. 200 m un 2005 seutas tali dipotong menjadi 7 bagian dan panjang jawaban: 225 m 5− 4 b. Contoh soal barisan dan deret aritmatika dan geometri 2 merupakan kumpulan soal barisan dan deret aritmatika serta geometri untuk soal dengan level kognitif aplikasi. S~ = 5 + 4 25 = 25 x 9 = 225 a. Seutas tali dipotong menjadi 5 bagian. Sebuah tali dibagi menjadi 6 bagian yang panjangnya membentuk suatu barisan geometri.
Panjang kawat membentuk barisan aritmatika dipotong menjadi 5 = n = 5 panjang kawat terpendek = a = 15 panjang kawat terpanjang = u5 = 23 sn = n/2(a + un) s5 = 5/2(15 + 23) = 5/2(38) = 5 x 19 = 95 jawaban: Jika panjang potongan terpendek adalah 6 cm dan panjang potongan terpanjang adalah 96 cm, maka. Seutas tali dipotong menjadi 5 bagian yang ukurannya membentuk deret geometri. Seutas tali dipotong menjadi 5 bagian sehingga panjang potongan potongan tali tersebut membentuk barisan geometri. Seutas tali dipotong menjadi 5 bagian.
Doc Un Matematika Tahun 2007 Paket 12 Alicia Girll Academia Edu from 0.academia-photos.com Jika tali yang paling pendek adalah 16 cm dan tali yang paling panjang 81 cm, maka panjang tali semula adalah …. Barisan untuk potongan tali adalah geometri. Sebuah tali dibagi menjadi 6 bagian yang panjangnya membentuk suatu barisan geometri. Tali membuat barisan geometri seperti terlihat pada gambar di. Panjang tali terpendek = u1 = a = 10. Ini berarti panjang tali semula adalah jumlah panjang kelima bagian tali ( s5 ). Seutas tali dipotong menjadi 5 bagian yang ukurannya membentuk deret geometri. N = 5 —> karena dipotong menjadi 5 bagian u1 = a.
Cara lain mencari panjang semula
Jika potongan tali terpendek adalah dan potongan tali terpanjang adalah panjang tali semula adalah. Amir memiliki kawat dipotong menjadi 5 bagian yang ukurannya membentuk barisan aritmatika. 200 m un 2005 seutas tali dipotong menjadi 7 bagian dan panjang jawaban: Jika tali yang paling pendek adalah 3 cm dan yang paling panjang 96 cm maka panjang tali semula adalaha. Jika panjang potongan pertama dan terakhir 10 cm dan 270 cm, berapakah panjang tali semula? Kumpulan rumus cepat matematika sma. 225 m 5− 4 b. A short summary of this paper. Seutas tali dipotong menjadi 5 bagian membentuk barisan geometri. Sebuah tali dipotong menjadi 6 bagian sehingga membentuk deret geometri. Sebuah tali dipotong menjadi 6 bagian sehingga membentuk deret geometri. Ini berarti panjang tali semula adalah jumlah panjang kelima bagian tali ( s5 ). Sebuah tali dipotong menjadi 6 bagian sehingga membentuk deret geometri.
Ini berarti panjang tali semula adalah jumlah panjang kelima bagian tali ( s5 ). Coba sobat hitung amati gambar bujur sangkar di bawah. Sebuah tali dipotong menjadi 5 bagian dan membentuk barisan geometri. Jika pada permulaan ada 5 bakteri maka banyak bakteri akan. 200 m un 2005 seutas tali dipotong menjadi 7 bagian dan panjang jawaban:
Sebuah Tali Dipotong Menjadi 5 Bagian Sehingga Panjang Tali Terpendek 0 3 M Dan Terpanjan from i.pertanyaan.id Jika potongan tali terpendek adalah $2$ cm dan potongan tali terpanjang adalah $54$ cm, panjang tali semula adalah $\cdots$ cm. Sebuah tali dipotong menjadi 5 bagian dan membentuk barisan geometri. Karena tali dibagi menjadi 5 bagian, untuk mencari panjang semula sangatlah mudah, tinggal jumlahkan saja kelima bagian tersebut dan selesai. Panjang kawat membentuk barisan aritmatika dipotong menjadi 5 = n = 5 panjang kawat terpendek = a = 15 panjang kawat terpanjang = u5 = 23 sn = n/2(a + un) s5 = 5/2(15 + 23) = 5/2(38) = 5 x 19 = 95 jawaban: Seutas tali dibagi menjadi 5 bagian dengan panjang membentuk suatu barisan geometri. Jika tali yang paling pendek adalah 3 cm dan yang paling panjang 96 cm maka panjang tali semula adalaha. Jika panjang tali yang terpendek 3cm dan yang terpanjang 96cm maka panjang tali semula adalah. Cara lain mencari panjang semula
Jika tali yang paling pendek adalah 3 cm dan yang paling panjang 96 cm maka panjang tali semula adalaha.
200 m un 2005 seutas tali dipotong menjadi 7 bagian dan panjang jawaban: Contoh soal barisan dan deret aritmatika dan geometri. Panjang tali terpanjang = u5 = ar4 = 160. Jika tali yang paling pendek adalah 3 cm dan yang paling panjang 96 cm maka panjang tali semula adalaha. Jika panjang potongan pertama dan terakhir 10 cm dan 270 cm, berapakah panjang tali semula? Jika panjang tali yang terpendek 3cm dan yang terpanjang 96cm maka panjang tali semula adalah. Seutas tali dipotong menjadi 5 bagian. Panjang potongan tali terpendek 6 cm dan panjang potongan tali terpanjang 384 cm. Contoh soal barisan dan deret aritmatika dan geometri 2 merupakan kumpulan soal barisan dan deret aritmatika serta geometri untuk soal dengan level kognitif aplikasi. Jika panjang potongan terpendek adalah 6 cm dan panjang potongan terpanjang adalah 96 cm, maka panjang tali semula adalah … a. (soal un matematika smp 2016) a. Tali membuat barisan geometri seperti terlihat pada gambar di. Sebuah tali dipotong menjadi 6 bagian sehingga membentuk deret geometri.
Berbagi
Posting Komentar
untuk "Sebuah Tali Dipotong Menjadi 5 Bagian Dan Membentuk Barisan Geometri : 15d Solusi Barisan Dan Deret : Panjang kawat membentuk barisan aritmatika dipotong menjadi 5 = n = 5 panjang kawat terpendek = a = 15 panjang kawat terpanjang = u5 = 23 sn = n/2(a + un) s5 = 5/2(15 + 23) = 5/2(38) = 5 x 19 = 95 jawaban:"
Posting Komentar untuk "Sebuah Tali Dipotong Menjadi 5 Bagian Dan Membentuk Barisan Geometri : 15d Solusi Barisan Dan Deret : Panjang kawat membentuk barisan aritmatika dipotong menjadi 5 = n = 5 panjang kawat terpendek = a = 15 panjang kawat terpanjang = u5 = 23 sn = n/2(a + un) s5 = 5/2(15 + 23) = 5/2(38) = 5 x 19 = 95 jawaban:"